| 일 | 월 | 화 | 수 | 목 | 금 | 토 |
|---|---|---|---|---|---|---|
| 1 | 2 | 3 | ||||
| 4 | 5 | 6 | 7 | 8 | 9 | 10 |
| 11 | 12 | 13 | 14 | 15 | 16 | 17 |
| 18 | 19 | 20 | 21 | 22 | 23 | 24 |
| 25 | 26 | 27 | 28 | 29 | 30 | 31 |
- ㅂ
- 강화학습 #minesweeper #dqn #deeplearning #rl #reignforcementlearning
- gan #genai
- xai #diffusion #integrated #gradient #shap #occlusion #xaic
- AE
- Today
- Total
인공지능
Q-Diffusion : Quantizing Diffusion Models _ICCV_2023 논문 리뷰 본문
Li_Q-Diffusion_Quantizing_Diffusion_Models_ICCV_2023_paper

Q-Diffusion : Quantizing Diffusion Models
Abstract
Problem(motivation) : diffusion model 의 noise estimation 과정에서 slow inference, high memory consumption, computation intensity 발생하여 diffusion model 의 효율적인 채택이 어렵다.
Previous state: PTQ 는 diffusion model 이 갖는 단점을 해결하기 위한 좋은 방법이지만, 기존의 PTQ 방법으로 diffusion model 에 적용을 했을 때, 단점이 그닥 해결되지 않았다.
Key difficulty of diffusion model quantization:
- multiple time step 동안 바뀌는 noise estimation network 의 output distribution
- bimodal activation distribution of the short-cut layers within the noise estimation network

Solution: noise estimation network compress이 가능토록 unique multi-timestep pipeline 과 diffusion model 의 model architecture에 맞춰 새로운 PTQ 방식을 제안한다.
- time-step aware calibration
- split short-cut quantization
Result: 성능을 유지하면서 training-free 방식으로 4-bit 로 quantizing 에 성공 (small FID change of at most 2.34 compared to >100 for traditional PTQ) 하였다.
Introduction
Diffusion model 은 diversity(gan 단점 해결) 와 fidelity(진짜 데이터와 샘플이 닮은 정도) 둘 다에서 높은 성과를 이뤘다. 하지만 generation process 에서 복잡한 신경망을 사용하는 iterative noise estimation(50번~1000번) 을 필요로 하기 때문에 속도가 느리다는 단점이 있다.
denoising 과정에서의 step 들을 줄임으로써 속도를 향상시키는 연구는 진행되어 왔지만, noise estimation 신경망이 각 iteration 마다 compute-,memory-intensive 하다는 점을 간과하고 있다. 즉 step 을 생략해도 compute-memoty-intensive 하다는 단점은 그대로임⇒ 각각의 iteration 에서의 memory footprints, 추론 속도 느림은 그대로임.
이 논문은 모든 timestep 에서의 속도를 가속화하기 위해 noise estimation model 에 PTQ 를 적용한다. PTQ 는 go-to compression method 이고 training data 를 최소로 요구하고 하드웨어 장치에 직접 배포가 가증하기 때문에 현재 각광받는 연구이다.

하지만, diffusion model 은
1. iterative 한 computation process 가 필요하다는 점
2. noise estimation 의 model 구조
때문에 PTQ 적용이 어렵다.
전에 연구된 PDQ4DM 은 8 bit로 diffusion model 이 compress 되도록 한다. 하지만 이는 작은 데이터셋과 낮은 해상도에 중점을 두고 있다.

위 그림은 기존의 PTQ 를 적용한 것이다. (a) 를 보면 time step 마다 noise estimation nn 의 output 이 크게 다른 것을 알 수 있으며 성능 또한 안 좋은 것을 알 수 있다. (b) 를 보면 noise estimation nn 의 iterative 한 inference 과정은 quantization error 를 누적하는 것을 알 수 있다.
따라서 새로운 quantization scheme 과 calibration objectives 를 디자인 하는 것이 중요하다.
Q-Diffusion
- 장점:
- 바뀐 알고리즘:
Related work
diffusion model
diffusion model 은 가우시간 노이즈를 time step 마다 데이터(𝑥0~ 𝑞(𝑥) )에 더하는 마르코프 체인을 따른다.
forward:

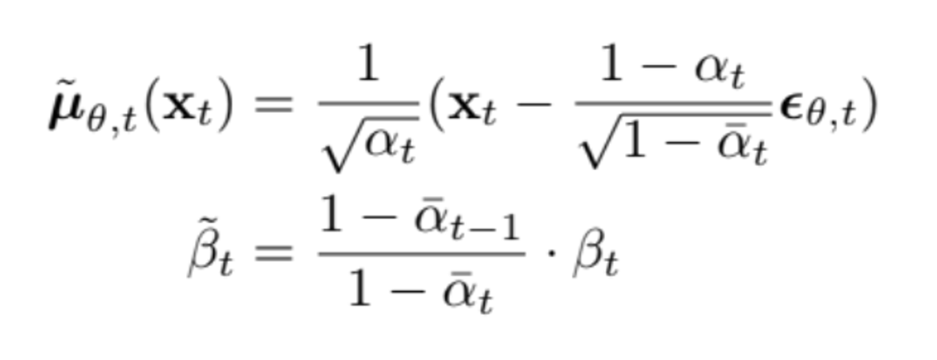
𝛽𝑡 (variance schedule)는 0~1 사이 값을 갖는데, 각 time-step 마다 noise 를 얼마나 줄지를 결정한다.
𝑇가 무한대로 가면 𝑥𝑡 는 isotorpic gaussian distribution 으로 근사한다.
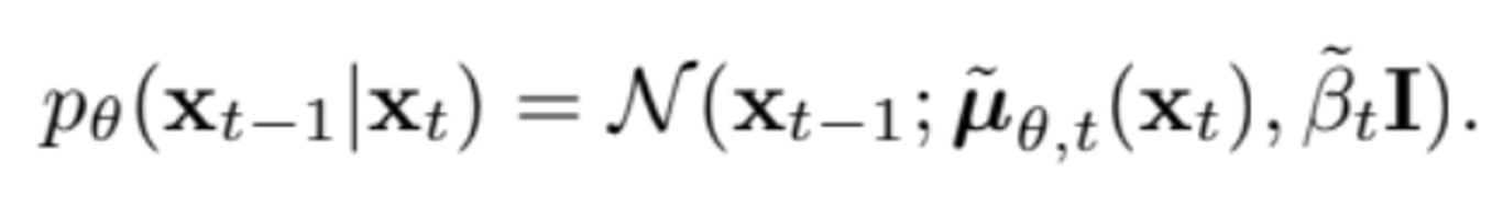
reverse:
노이즈가 씌워진 sample( 𝑥𝑇~ 𝑁(0,𝐼) ) 에서 매 step 마다 noise 를 제거하면서 high-fidelity image를 얻는다. 하지만 실제 𝑞(𝑥𝑡−1∣𝑥𝑡) 의 조건부 확률은 구할 수 없기에 학습한 조건부 확률로부터 reverse 를 진행한다.

역확산 분포를 구할 때, 평균과 분산은 reparameterization 을 이용하여 구할 수 있다.


time step 마다 noise 는 𝑥𝑡 로부터 noise estimation model( UNet 을 사용하고(최근에는 transformer 를 이용한 연구도 진행 중) time step 마다 weight 는 같음) 을 이용하여 구한다.
이 논문에서는 UNet 을 기준으로 새로운 PTQ method 를 설명한다.
PTQ
post training quantization 은 심층신경망의 원소(𝑤) 를 discrete 한 값으로 rounding 하여 압축한다.

quantization 과 de-quantization 은 위의 수식을 따른다. 𝑠 는 quantization scale 이다.
𝑤,𝑐𝑚𝑖𝑛,𝑐𝑚𝑎𝑥 는 weight 와 activation 의 분포로 측정이 되고, calibrated 한다. round(·)는 rounding 을 의미하는데 2가지 기법이 있다.
- AdaRound
- Nearest Rounding

분류, 감지 문제에 쓰이던 기존의 PTQ 는 calibration objective 와 acquisition calibration data 에 집중을 했었다.
diffusion model quantization 에서는 training dataset 이 필요하지 않다. random input 을 사용하여 full precision model 을 샘플링 해서 생성할 수 있다. 따라서 diffusion model quantization 에서는 양자화 과정에서 훈련 데이터셋을 사용하지 않고도 보정 데이터를 생성할 수 있다
→ pretrain 된 모델에 무작위 된 입력값을 넣고 숫자의 분포를 보고 calibrate 한다
하지만, multi-time step 마다 noise estimation moel 으로부터 추론값을 얻는 것은 기존의 방법으로 activation distribution 을 modeling 하는데 문제가 된다.
PTQ4DM 은 Normally Distributed time-step calibration 방법을 소개한다. 이 방법은 특정 분포를 갖는 모든 시간 단계에 대해 보정 데이터를 생성한다. 하지만 이 방법은 낮은 해상도, 8비트 정밀도, floating-point 어텐션 activation 간의 행렬 곱셈, 다른 calibration 방법에 대한 제한된 ablation study(어떤 구성 요소를 시스템에서 제거하여 해당 구성 요소의 중요성을 평가하는 방법) 한계가 존재한다.
본 논문은 calibration 데이터셋 생성의 영향을 전체적으로 탐구하여 diffusion model 을 위한 효율적인 calibration 목표를 설정한다. 512*512 해상도를 가진 대규모 데이터셋을 포함하는 실험을 통해 act-to-act matmuls 를 완전히 양자화하여 검증한다.
Method
Challenges under the Multi-step De-noising
- Quantization errors accumulate across time steps
- Activation distributions vary across time steps
middle 50 time steps caused smaller drops compared to cases with samples taken from either the first or the last n time steps.
Challenges on Noise Estimation Model Quantization

대부분의 diffusion model 은 latent feature 를 down-sample, up-sample 할 때 back-bone으로 UNet 을 쓴다. 최근엔 트랜스포머를 쓰는 연구도 진행 중 이지만 아직 UNet 을 가장 많이 쓴다.
UNet 은 deep feature 와 shallow feature 를 merge 하기 위해 shortcut layer 를 사용하고 이를 subsequent layer 에 전달한다.
아래 표를 보면, shortcut layer 의 activation input 이 abnormal 한 value range 를 가지고 있는 것을 알 수 있다.
DDIM 의 경우 shortcut layer의 input activations 는 이웃 layer 에 비해 200배 정도 큰 것을 알 수 있다.

깊은 feature 채널(x1) 과 얕은 feature 채널(x2) 의 activation range가 함께 연결된다. 이는 곧 bimodal distribution 을 만든다. 동일한 quantization 을 사용하여 전체 weight 와 activation distribution 을 quantization 하는 것은 quantization error 를 만들 것이다.




Experiments
Unconditional generation






